представьте в виде многочлена выражения
СРОЧНО ПЛЗЗЗЗ!
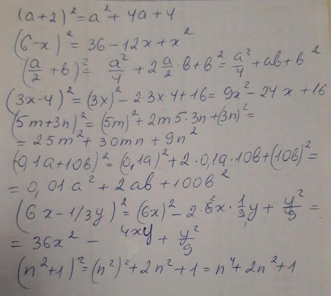
(a+2)^2
(6-x)^2
(1/2a+b)^2
(3x-4)^2
(5m+3n)^2
(0.1a+10b)^2
(6x-1/3y)^2
(n^2+1)^2
Ответы
Ответ дал:
2
Ответ:
Объяснение:
(a+2)^2=a²+4a+4
(6-x)^2=36-12x+x²
(1/2a+b)^2=1/4a²+ab+b²
(3x-4)^2=9x²-24x+16
(5m+3n)^2=25m²+30mn+n²
(0.1a+10b)^2=0.01a²+2ab+100b²
(6x-1/3y)^2=36x²-xy+1/9y²
(n^2+1)^2=n^4+2n²+1
PVJ:
В 1, 2 и 5 ошибки
Ответ дал:
1
Відповідь:
Пояснення:
Приложения:

Вас заинтересует
1 год назад
1 год назад
1 год назад
1 год назад
3 года назад