• Предмет: Математика
  • Автор: jakertos123
  • Вопрос задан 2 года назад

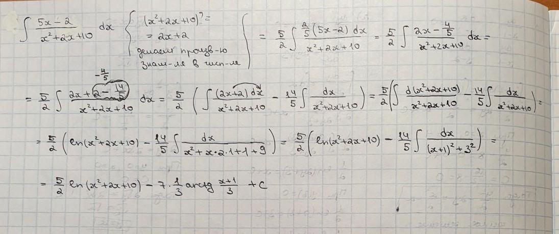
Найти неопределенный интеграл

Приложения:

Mischonik: x^2+2x+ что там? это цифра 10?
jakertos123: Да,это цифра 10

Ответы

Ответ дал: Miroslava227
0

Ответ:

решение на фотографии

Приложения:
Вас заинтересует