• Предмет: Алгебра
  • Автор: alnisper
  • Вопрос задан 2 года назад

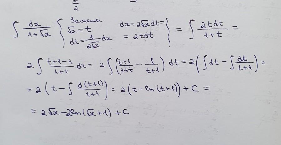
В неопределенном интеграле \int\limits\frac{dx}{1+\sqrt{x} } введена новая переменная t=\sqrt{x}. Тогда интеграл примет вид

Ответы

Ответ дал: Miroslava227
0

Ответ:

решение на фотографии

Приложения:
Вас заинтересует