• Предмет: Алгебра
  • Автор: agapitova56
  • Вопрос задан 2 года назад

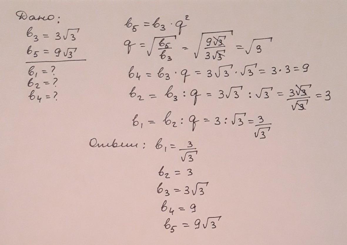
Запишите пять первых членов геометрической прогрессии, который b3=3корень3 и b5=9корень3 (извлечь из корня положительное число)
30 БАЛЛОВ ПОЖАЛУЙСТА ПОМОГИТЕ!!! ​

Ответы

Ответ дал: sharofat0
9

Ответ:

Геометрическая прогрессия.

Приложения:
Вас заинтересует