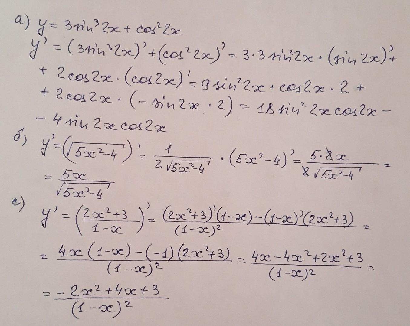
Продифференцируйте функцию
a) у = 3sin³2x + cos²2x
b) √(5x²-4)
c) y= (2x²+3) / (1-x)
пожалуйста, хоть одно помогите решить ¯\_(ツ)_/¯
Ответы
Ответ дал:
1
Ответ:
Производная сложной функции.
Приложения:

blaaatnoy:
даже все на листочке прорешал(а) для меня❤️ спасибо большое ⊂((・▽・))⊃
Вас заинтересует
1 год назад
1 год назад
1 год назад
3 года назад