Ответы
Ответ дал:
0
Пошаговое объяснение:
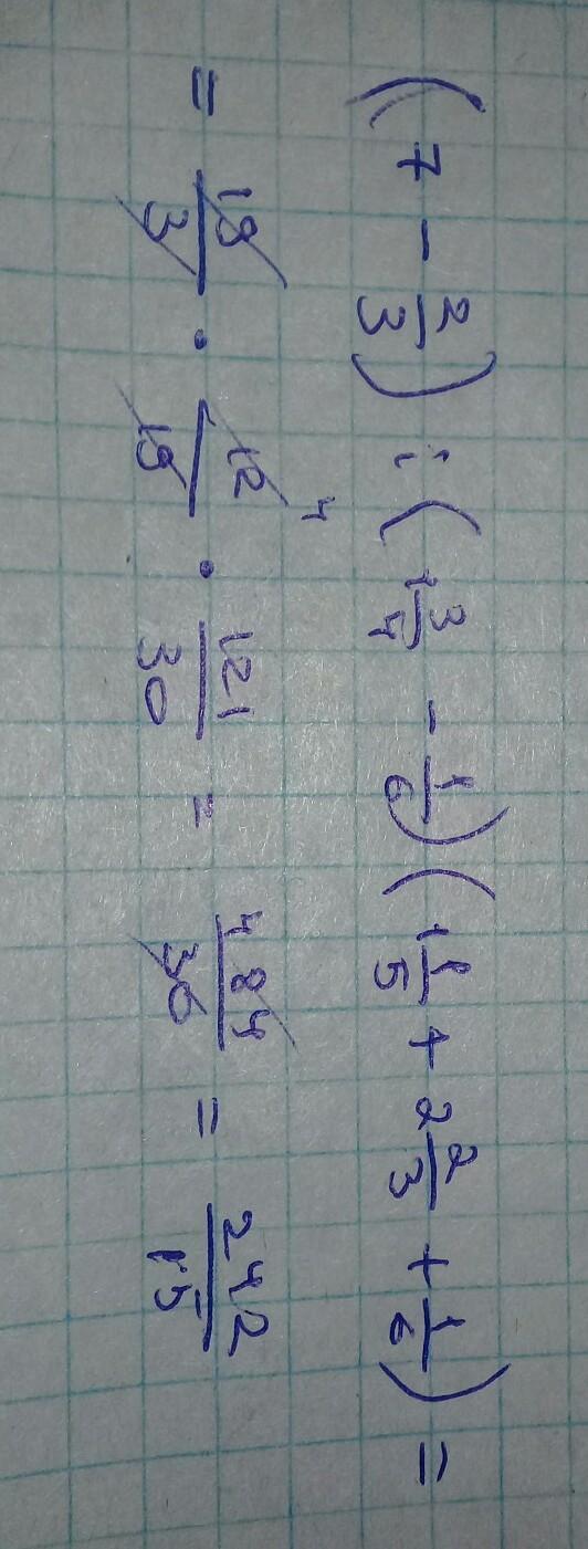
ответ на рисунке показано
Приложения:

autest:
неправильно
Ответ дал:
0
Ответ:
Вот
Пошаговое объяснение:
все на картинке гыгыгыггыгыгыгы
Приложения:

Вас заинтересует
1 год назад
1 год назад
1 год назад
1 год назад
3 года назад
3 года назад
8 лет назад