• Предмет: Алгебра
  • Автор: Gelyamen121905
  • Вопрос задан 2 года назад

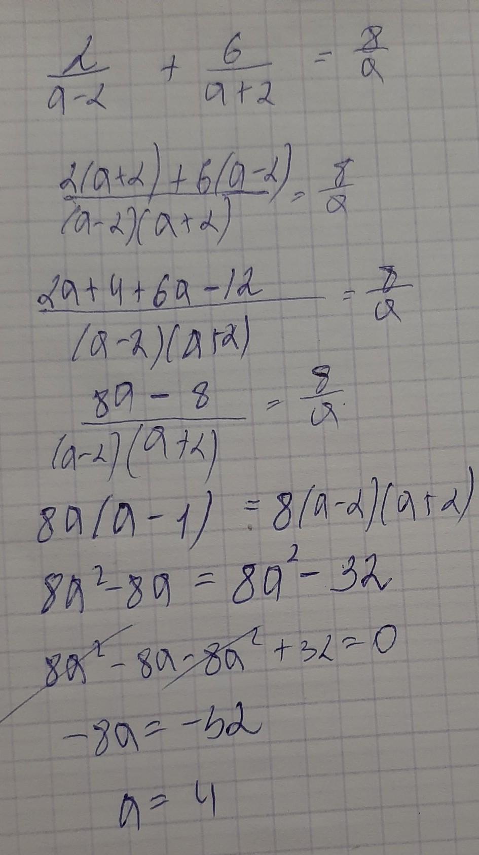
Решите пожалуйста, очень надо. Заранее спасибо)

Приложения:

Ответы

Ответ дал: чикэко
1

если что непонятно, спрашивайте

Объяснение:

1) я привела к общему знаменателю и привела подобные в числителе

2) я тупанула можно сразу применить формулу разности в знаменателе

3) потом накрест переложила))) тип пропорция и нашла а

Приложения:
Вас заинтересует