• Предмет: Алгебра
  • Автор: yavencsiw
  • Вопрос задан 2 года назад

Помогииииитеееее)))₽₽₽₽

Приложения:

Ответы

Ответ дал: saburbayevbobur
1

Ответ:

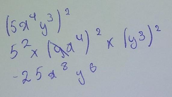
25х⁸у⁶

Объяснение:

(-5)²×(х⁴)²×(у³)²=25х⁸у⁶


yavencsiw: Сможешь ответить ещё на мои вопросы?Я выложил их))))Буду благодарен
saburbayevbobur: где твой вопрос
Ответ дал: renatatsoy
1

)))))()))))))))))))))))))))

Приложения:

yavencsiw: Сможешь ответить ещё на мои вопросы?Я выложил их))))Буду благодарен
Вас заинтересует