• Предмет: Алгебра
  • Автор: gvygvydgvs
  • Вопрос задан 2 года назад

пожалуйста Упростите плиз пж

Приложения:

Ответы

Ответ дал: gggarbakov
0

Ответ:

Б

Объяснение:

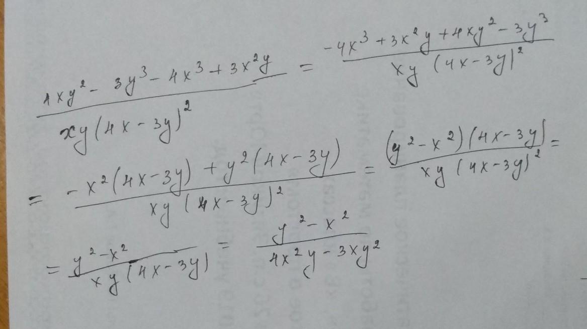
Смотри фото в подробностях разложил

Приложения:
Ответ дал: wefwefbub
0

Ответ:

цукцуцйкукйуцукй

Объяснение:

Вас заинтересует