Ответы
Ответ дал:
1
4(3m - 5n)² - 16(2m - n)² = [2(3m - 5n)]² - [4(2m - n)]² =
= [2(3m - 5n) - 4(2m - n)] * [2(3m - 5n) + 4(2m - n)] =
= (6m - 10n - 8m + 4n)(6m - 10n + 8m - 4n) = (- 2m - 6n)(14m - 14n) =
- 2 * (m + 3n) * 14 * (m - n) = - 28(m + 3n)(m - n)
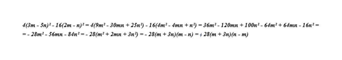
Ответ дал:
2
Решение приложено
============================================================
Приложения:

Вас заинтересует
1 год назад
1 год назад
1 год назад
1 год назад
3 года назад
3 года назад
8 лет назад