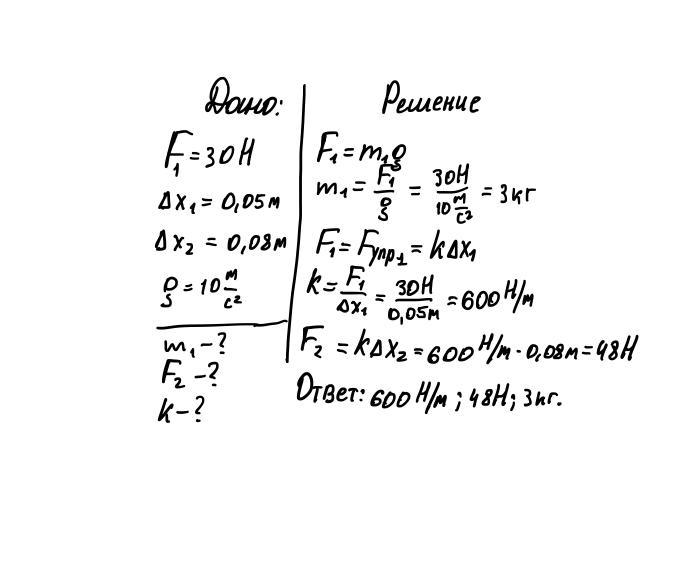
груз 30Н,растягивает пружину на 0,05м
Определите жесткость пружины
Рассчитайте силу,под действием которой эта пружина растянется на 0,08м
Определите массу груза,подвешенного на пружине (g=10H/m)
Ответы
Ответ дал:
4
Вот..................
Приложения:
Вас заинтересует
2 года назад
2 года назад
2 года назад
2 года назад
3 года назад
3 года назад
9 лет назад