• Предмет: Алгебра
  • Автор: nofix
  • Вопрос задан 2 года назад

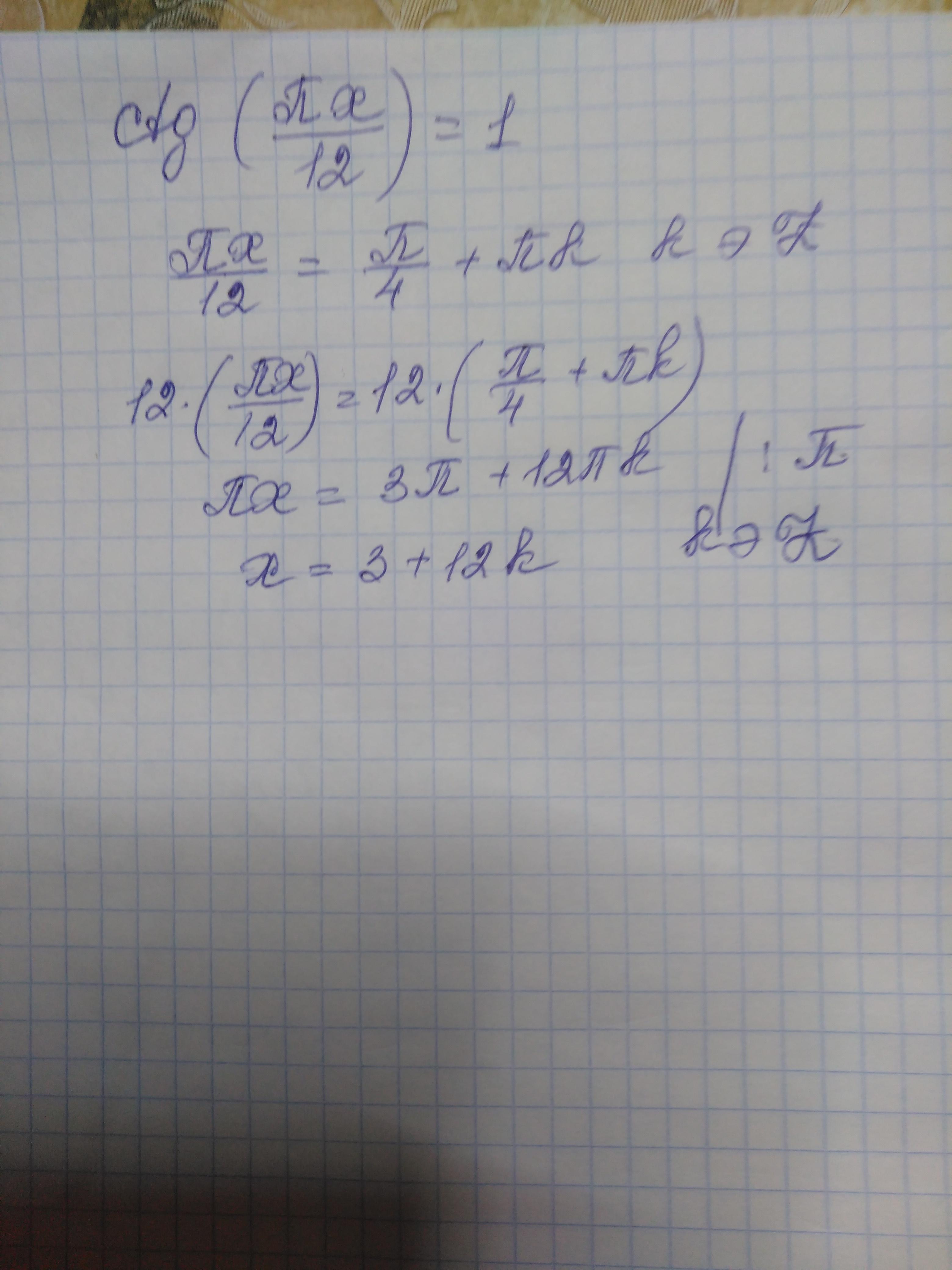
срочно помогите с уравнением​

Приложения:

Ответы

Ответ дал: MizoriesKun
0

Смотри....................

Приложения:
Вас заинтересует