• Предмет: Алгебра
  • Автор: vredinka77
  • Вопрос задан 2 года назад

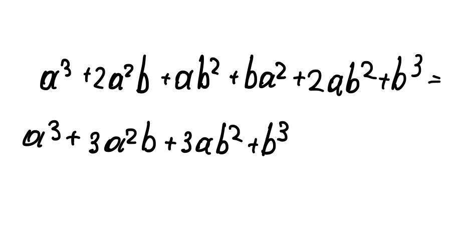
приведите пожалуйста подобные ​

Приложения:

Ответы

Ответ дал: bergalium
1
Вот.................
Приложения:
Вас заинтересует