Решите задачу
Пешехтд 3 четверти времени своего движения шёл со скоростью V1=3,6 км/ч а оставшееся время со скоростью V2=5,2км/ч.
Найти среднюю скорость
Ответы
Ответ дал:
2
Ответ:
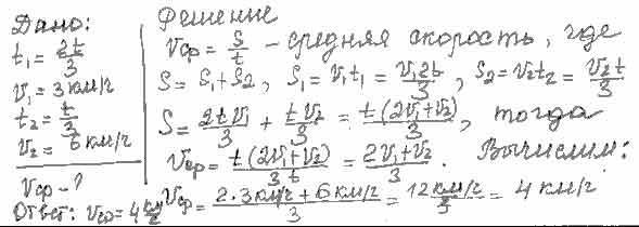
Объяснение:https://ru-static.z-dn.net/files/dfd/3c5f498dc9349d1c806bd993db9586d9.jpg
Приложения:

Ответ дал:
1
разделив его все время ходьбы получим 4 "этапа"
значит получим такие числа, как "5,2; 3,6; 3,6; 3,6"
теперь решим среднюю арифметическую этих чисел
(3,6+3,6+3,6+5,2)/4=16/4=4 км/ч
Вас заинтересует
1 год назад
1 год назад
1 год назад
1 год назад
3 года назад
8 лет назад