• Предмет: Алгебра
  • Автор: Azzazel137
  • Вопрос задан 2 года назад

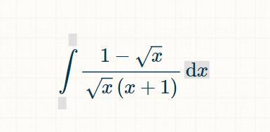
ПОМОГИТЕ РЕШИТЬ ДАННЫЙ СЛОЖНО СОСТАВЛЕННЫЙ ПРИМЕР

Приложения:

Ответы

Ответ дал: Miroslava227
0

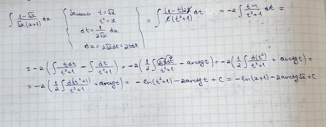
Ответ:

решение на фотографии

Приложения:
Вас заинтересует