• Предмет: Алгебра
  • Автор: wlaxru
  • Вопрос задан 2 года назад

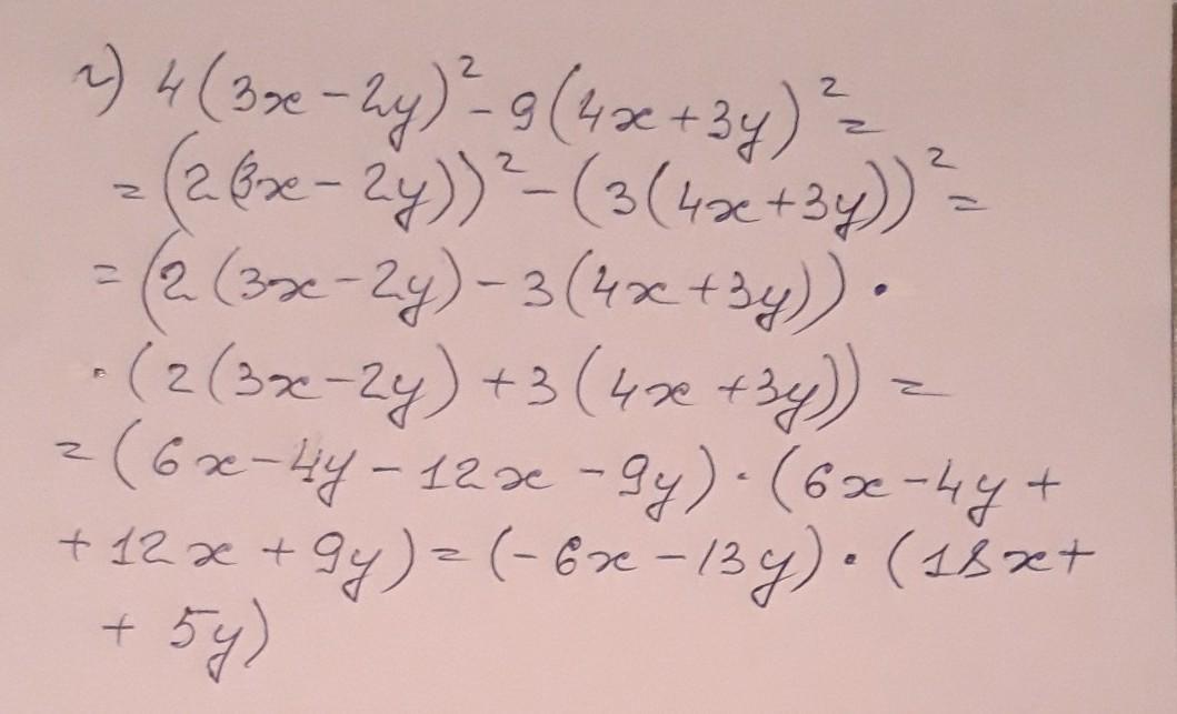
Разложить на множители​

Приложения:

Ответы

Ответ дал: sharofat0
1

Ответ:

Формулы сокращенного умножения

Приложения:
Вас заинтересует