Щенок пробегает во время выступления по кругу арены 10 раз преодолевая 408 метров. Найдите площадь арены. Последние 20 баллов отдаю, арена КРУГЛАЯ
Ответы
Ответ дал:
0
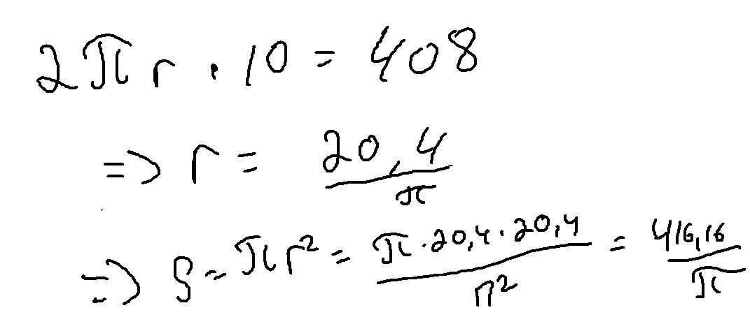
10l=408
l=40.8
l=2пr
r=40.8/2п=20.4/п м
S=пr²=20.4²/п ≈ 132.5 м².
Ответ дал:
0
Ответ:
Длина окружности 2 пи r, площадь круга пи r^2
Пошаговое объяснение:
Приложения:

Вас заинтересует
1 год назад
1 год назад
1 год назад
1 год назад
3 года назад
3 года назад
8 лет назад
8 лет назад