• Предмет: Математика
  • Автор: diganovsanogad
  • Вопрос задан 2 года назад

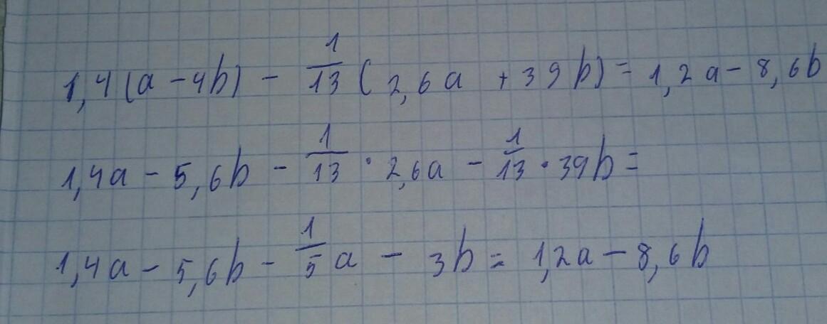
Срочно помогите пожалуйста напишите решение и ответ на бумаге умоляю быстрее

Приложения:

Ответы

Ответ дал: mkd07
0

Пошаговое объяснение:

ответ прикрепляю в виде фото

Приложения:
Ответ дал: RachelRoxx
0

Ответ:

1,2а - 8,6b. Нужно было просто перевести десятичную дробь в простую.

Приложения:
Вас заинтересует