• Предмет: Математика
  • Автор: Jijus
  • Вопрос задан 2 года назад

Помогите пожалуйста!

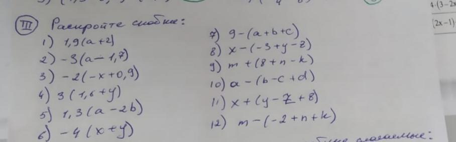
Приложения:

Ответы

Ответ дал: shukrimohammad88
1

Ответ:

1)1,9а+38. 7)9-a-b-c

2)-3а+5,1. 8)x+3-y+7

3)2х-1,8. 9)m+8+n-k

4)4,8+3у. 10)a+b+c-d

5)1,3а-2,6b. 11)x+y-7+8

6)-4x-4y. 12)m+2-n-k

Вас заинтересует