• Предмет: Алгебра
  • Автор: Ssssladkoo
  • Вопрос задан 2 года назад


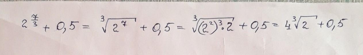
 {2}^ \frac{7}{3} + 0.5
Очень срочно​

Ответы

Ответ дал: sharofat0
0

Ответ:

Упростите выражение.

Приложения:
Вас заинтересует