Ответы
Ответ дал:
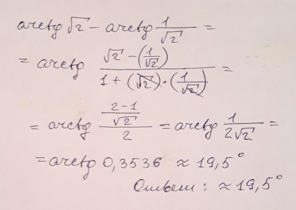
1
Ответ:
Тригонометрические функции.
Приложения:

erkinovelmurod549:
у меня тоже так получился но такого ответа нету среди вариантов
Вас заинтересует
1 год назад
1 год назад
1 год назад
1 год назад
3 года назад
3 года назад