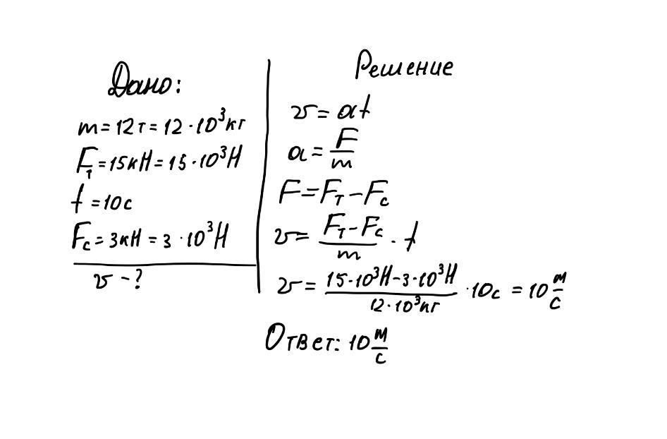
1) АВТОБУС МАССОЙ 12т ТРОГАЕТСЯ С МЕСТА ПОД ДЕЙСТВИЕМ СИЛЫ 15кН. КАКУЮ СКОРОСТЬ ПРИОБРЕТАЕТ АВТОБУС ЗА 10с, ЕСЛИ СИЛА СОПРОТИВЛЕНИЯ АВТОБУСА 3кН?
Ответы
Ответ дал:
2
Ответ: 10 м/с......................
Приложения:

Вас заинтересует
1 год назад
1 год назад
1 год назад
1 год назад
3 года назад
3 года назад
8 лет назад
8 лет назад