Ответы
Ответ дал:
1
Ответ:
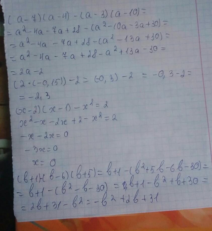
Надеюсь, что всё понятно))
Приложения:



Вас заинтересует
1 год назад
1 год назад
1 год назад
3 года назад
3 года назад
8 лет назад