решите пжжжжж срочно уравнения даю 50 ,баллов заранее спс
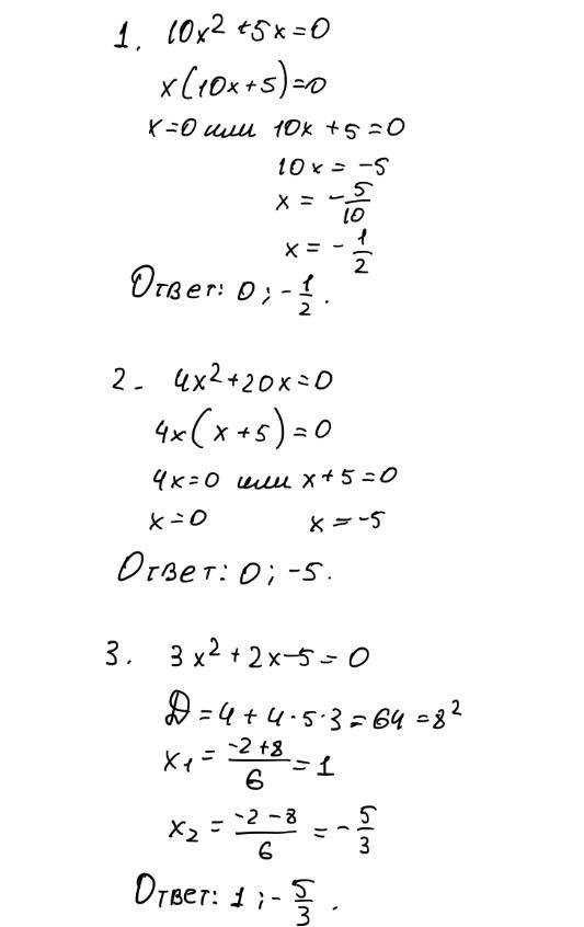
1. 10x^{2} +5x=0
2. 4x^{2} +20x=0
3. 3x^{2} +2x-5=0[/tex]
Ответы
Ответ дал:
1
Вот......................
Приложения:

kr2005bi:
ты мой спаситель
Вас заинтересует
1 год назад
1 год назад
1 год назад
1 год назад
3 года назад
8 лет назад
8 лет назад