• Предмет: Математика
  • Автор: pytevrroman
  • Вопрос задан 2 года назад

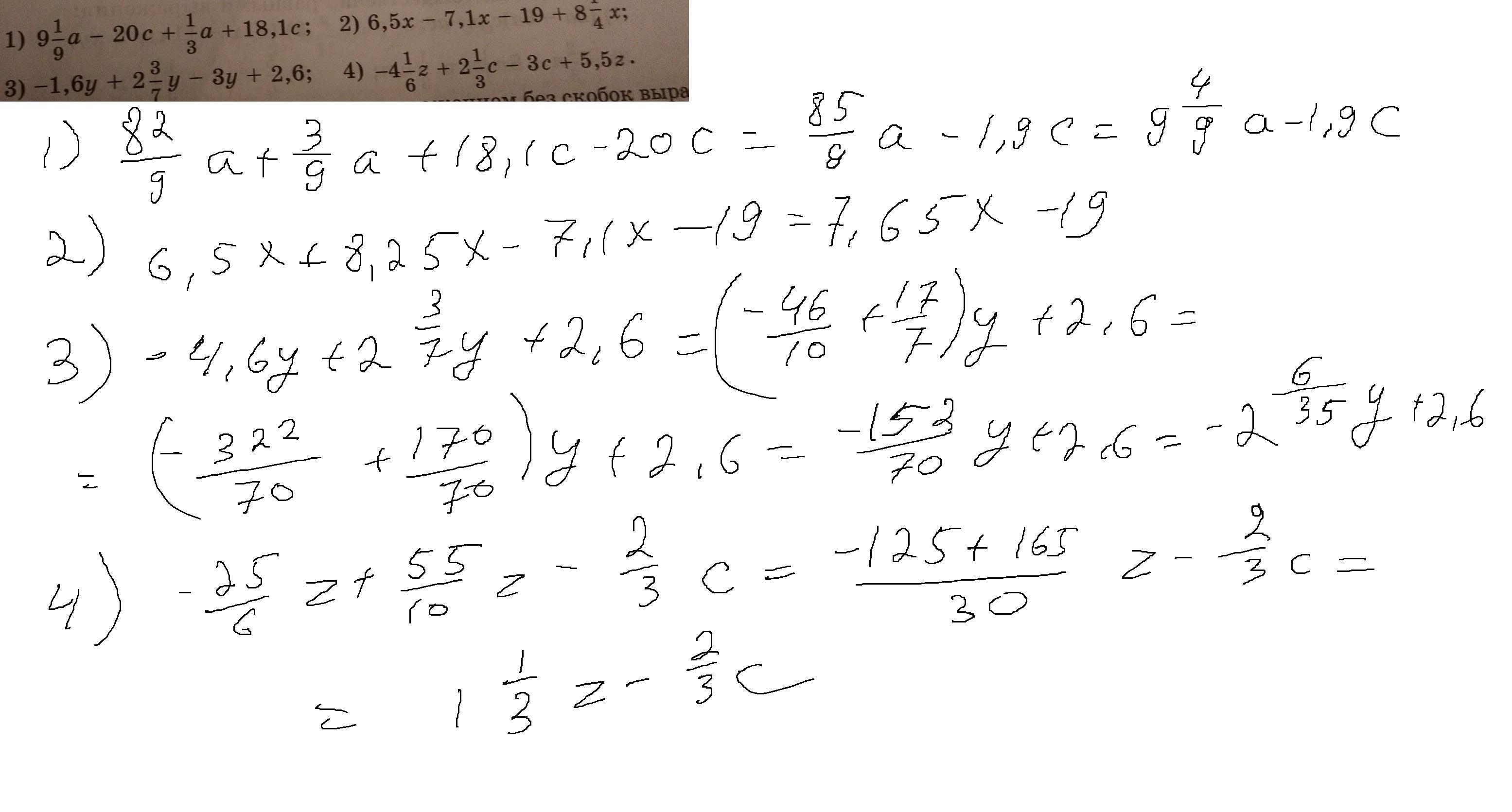
Привидите подобные слагаемые. Помогите пожалуйста. Дам 50 баллов​

Приложения:

Ответы

Ответ дал: studyprogrammer2019
1

Ответ на фото.

Стараюсь быть лучшим для вас)

Приложения:
Ответ дал: Аноним
1

Ответ: во вложении Пошаговое объяснение:

Приложения:
Вас заинтересует