• Предмет: Алгебра
  • Автор: vladburm2005
  • Вопрос задан 2 года назад

ВЫРУЧИТЕ ПОЖАЛУЙСТА) ​

Приложения:

Ответы

Ответ дал: bergalium
1
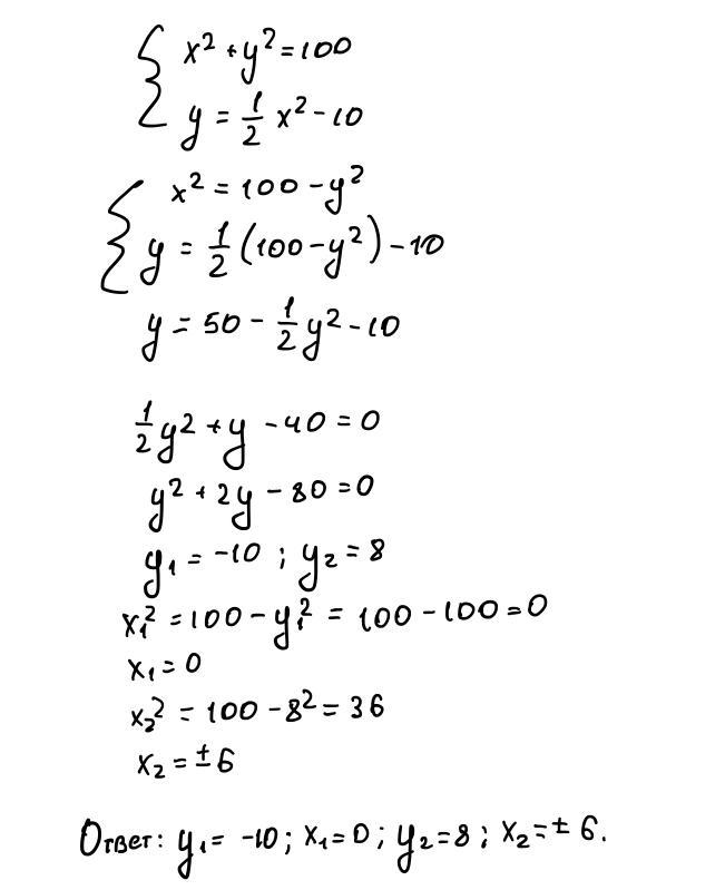
Вот...............................
Приложения:

vladburm2005: А ЧЕРТЕЖ НАДО?
Вас заинтересует