• Предмет: Математика
  • Автор: sobakatvoya
  • Вопрос задан 2 года назад

1)
Y=(5-x²)*e^(3x-1) ^ степень

2)
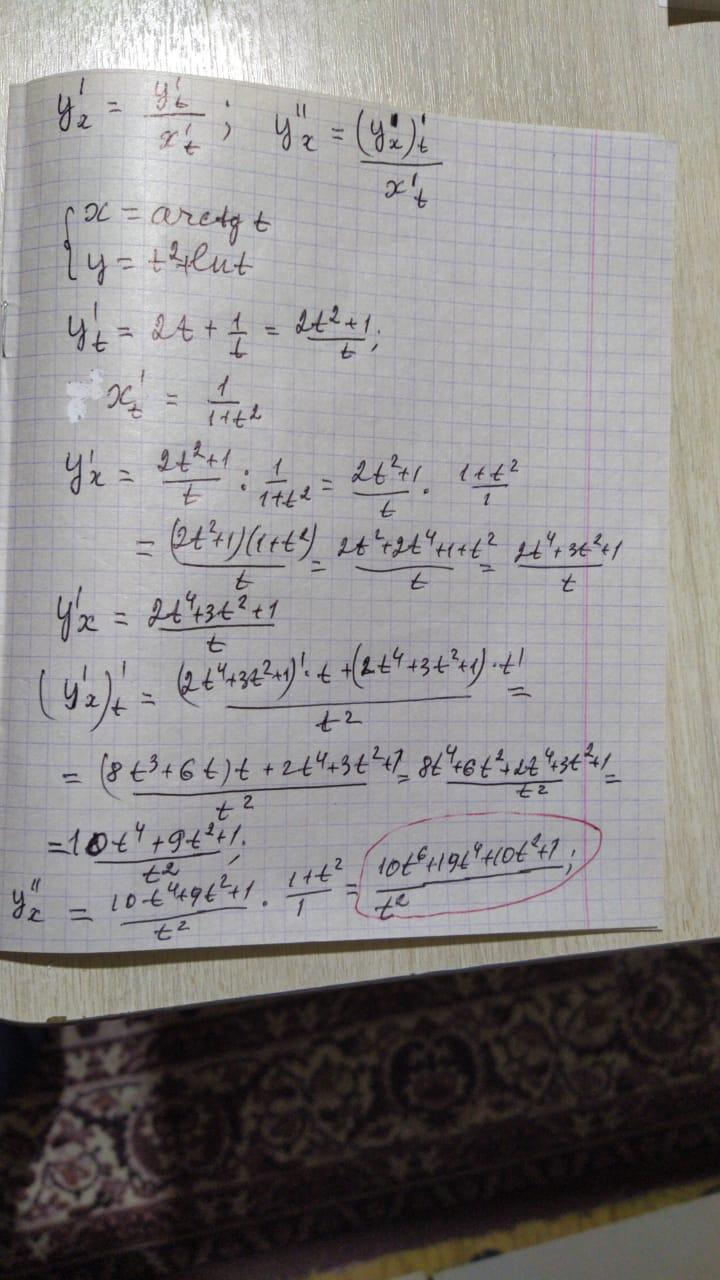
\left \{ {{x=arctg(t)} \atop {y=t^{2} +ln(t)}} \right.



Два задания. Найти производную первого и второго порядка

Ответы

Ответ дал: terikovramazan
1

Ответ: приложено

Пошаговое объяснение:

Приложения:

sobakatvoya: Спасибо большое. Буду рад, если вы поможете решить и следующий пример https://znanija.com/task/33911090
Вас заинтересует