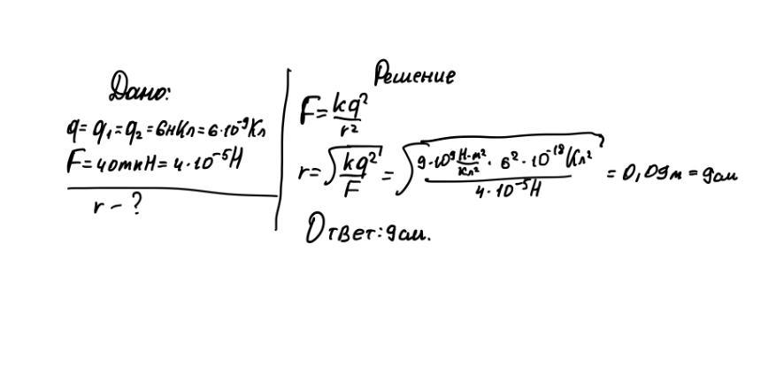
Два одинаковых по модулю точечных заряда 6нКл притягиваются в вакууме с силой 40мкН. Определите какое расстояние должно быть между зарядами.
Ответы
Ответ дал:
1
Ответ: 9 см
Объяснение: на картинке
Приложения:

phyzic36:
спасибо большое
Вас заинтересует
1 год назад
1 год назад
1 год назад
3 года назад
3 года назад