• Предмет: Алгебра
  • Автор: Hooopex
  • Вопрос задан 2 года назад

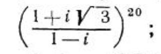
Вычислить, используя формулу Муавра

Приложения:

Ответы

Ответ дал: Аноним
2

Положим z=1+i\sqrt{3}. Модуль комплексного числа: |z|=\sqrt{1^2+(\sqrt{3})^2}=2,тогда z=2\cdot \left(\dfrac{1}{2}+i\dfrac{\sqrt{3}}{2}\right)=2\left(\cos \dfrac{\pi}{3}+i\sin\dfrac{\pi}{3}\right)

По формуле Муавра z^{20}=2^{20}\left(\cos \dfrac{20\pi}{3}+i\sin\dfrac{20\pi}{3}\right)=2^{20}\left(-\dfrac{1}{2}+\dfrac{\sqrt{3}}{2}\right)

Аналогично, положим a=1-i, тогда |a|=\sqrt{1^2+(-1)^2}=\sqrt{2}, тогда a=\sqrt{2}\left(\dfrac{1}{\sqrt{2}}-i\dfrac{1}{\sqrt{2}}\right)=\sqrt{2}\left(\cos\left(-\dfrac{\pi}{4}\right)+i\sin\left(-\dfrac{\pi}{4}\right)\right)

Тогда по формуле Муавра

a^{20}=2^{10}\left(\cos \left(-\dfrac{20\pi}{4}\right)+i\sin\left(-\dfrac{20\pi}{4}\right)\right)=2^{10}\left(-1+0)=-2^{10}

Окончательно получаем

\left(\dfrac{1+i\sqrt{3}}{1-i}\right)^{20}=\dfrac{2^{20\cdot \left(-\dfrac{1}{2}}+i\dfrac{\sqrt{3}}{2}\right)}{-2^{10}}=2^9\left(1-i\sqrt{3}\right)

Вас заинтересует