Ответы
Ответ дал:
1
Ответ:
...
Пошаговое объяснение:
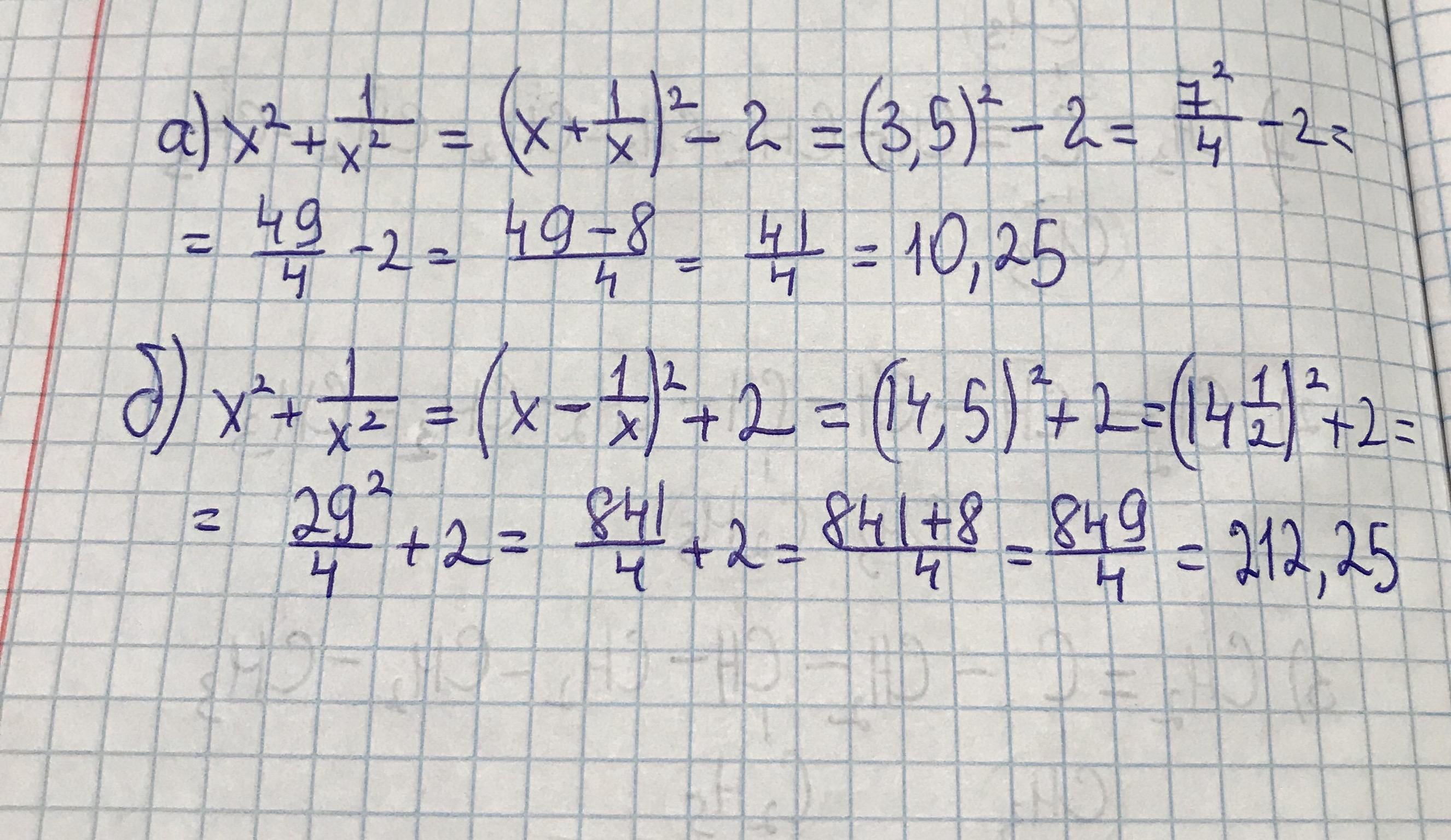
>>>Если найти квадрат суммы (x+1/x), то мы получим х^2+2*х*(1/х^2)+1/х^2=х^2+1/х^2+2. Аналогично с вторым примером(только там использовать формулу квадрат разницы двух чисел). На этом и обосновывается номер
>>>Извиняюсь за почерк
>>>Если что-то непонятно, спрашивайте))
Приложения:

saxinerah:
Один вопрос, -2 и +2 это что?
Вас заинтересует
1 год назад
1 год назад
1 год назад
3 года назад
3 года назад
8 лет назад