• Предмет: Физика
  • Автор: sanssvep2
  • Вопрос задан 2 года назад

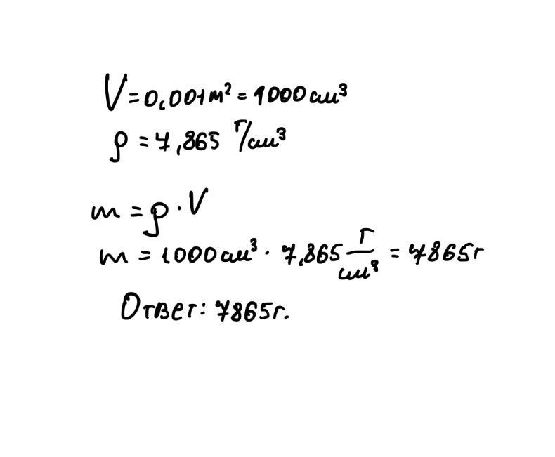
Определить массу стальной детали объёмом 0,001м2, Плотность стали 7,8 65 г/см3,

Ответы

Ответ дал: bergalium
1
Ответ: 7865 г.....................
Приложения:
Вас заинтересует