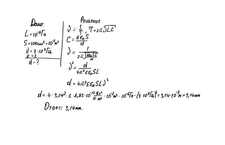
Коливальний контур скл. з котушки індуктивністю 10^-6 Гн. і повітряного конденсатора з площею пластин 100см^2. На якій відстані знаходяться пастини,якщо контур резонує на частоті 3*10^7 Гц???
Ответы
Ответ дал:
2
Ответ: 3.14 мм
Решение на картинке....................
Решение на картинке....................
Приложения:

Вас заинтересует
1 год назад
1 год назад
3 года назад
3 года назад
8 лет назад