Ответы
                                            Ответ дал: 
                                                                                            
                                                    
                                                
                                                                                    
                                        
                                            
                                                
                                                
                                                
                                                    1
                                                
                                            
                                        
                                    Ответ:
Первое задание не видео доконца
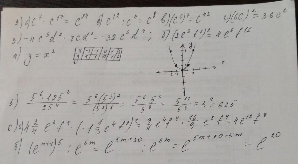
Приложения:
                     
                            
                    Jenylop729:
                    СПАСИБО ВАМ ОГРОМНОЕ
                
            
                                            Ответ дал: 
                                                                                    
                                        
                                            
                                                
                                                
                                                
                                                    0
                                                
                                            
                                        
                                    Ответ: 15 км
Пошаговое объяснение:
Вас заинтересует
                
                        1 год назад
                    
                
                        1 год назад
                    
                
                        1 год назад
                    
                
                        1 год назад
                    
                
                        8 лет назад
                    
                
                        8 лет назад
                    
                