• Предмет: Математика
  • Автор: JoyJoyJoyJoy
  • Вопрос задан 2 года назад

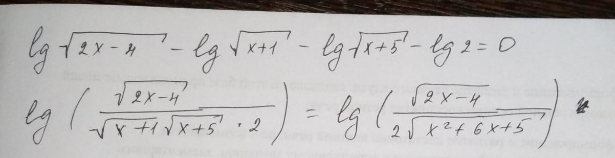
помогите пожалуйста!!!!!!!!!!!!​

Приложения:

Ответы

Ответ дал: gggarbakov
1

Ответ:

Как я понял его нужно было упростить

Приложения:
Ответ дал: Medved23
1

Ответ:

===================

Приложения:

JoyJoyJoyJoy: спасибо
Вас заинтересует