Ребята. Прошу помочь с тестом. 9 класс и не суперсложно )
Уже 3 раз выкладываю, а никто не помогает(
Единственное условие: прошу решить верно,если вы не знаете ответ или у вас есть сомнения-НЕ ПИШИТЕ.
Приложения:



Simba2017:
много заданий-нарушение, поэтому и не решают
Ответы
Ответ дал:
3
Ответ:
Объяснение:
------------------------------
Приложения:


Ответ дал:
0
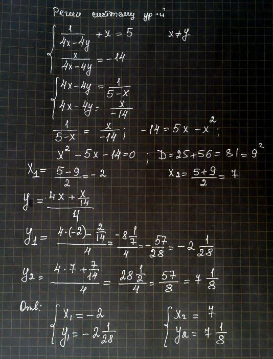
Ответ: во вложении Объяснение:
Приложения:

Вас заинтересует
1 год назад
1 год назад
3 года назад
3 года назад