Ответы
Ответ дал:
0
Ответ:
Помоему нужно 5 перемножить с дробью а
Ответ дал:
1
Ответ:
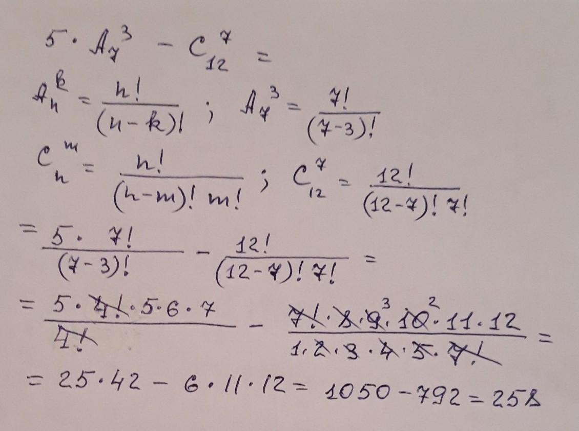
Формулы комбинаторики.
Приложения:

Вас заинтересует
1 год назад
1 год назад
1 год назад
1 год назад
3 года назад
3 года назад
8 лет назад
8 лет назад