• Предмет: Математика
  • Автор: x1savitar1x
  • Вопрос задан 2 года назад

алгебра на казахском помогите​

Приложения:

Ответы

Ответ дал: sharofat0
1

Ответ:

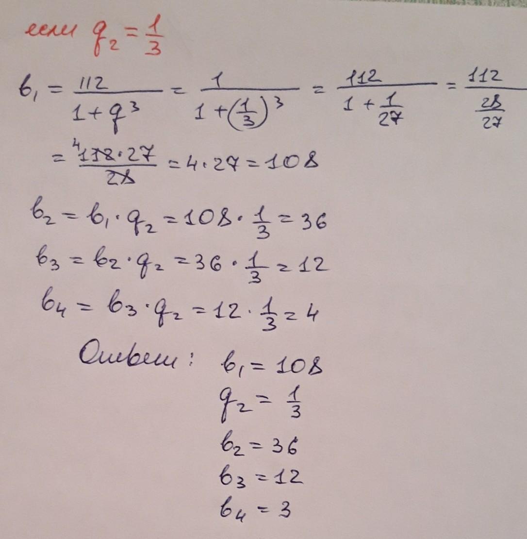
Арифметическая геометрическая прогрессии.

Приложения:
Вас заинтересует