Ответы
Ответ дал:
1
Ответ:
Объяснение:
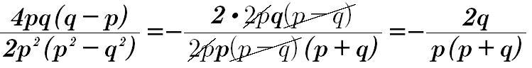
(4pq(q-p))/(2p²(p²-q²))=(-2q(p-q))/(p(p-q)(p+q))=(-2q)/(p(p+q))=(-2q)/(p²+pq)
Ответ дал:
2
Ответ:
Объяснение:
---------------------------------
Приложения:

Вас заинтересует
1 год назад
1 год назад
1 год назад
1 год назад
3 года назад
3 года назад
8 лет назад
8 лет назад