• Предмет: Химия
  • Автор: sertoos
  • Вопрос задан 2 года назад

Помогите пожалуйста. ​

Приложения:

Ответы

Ответ дал: Giorgio
1
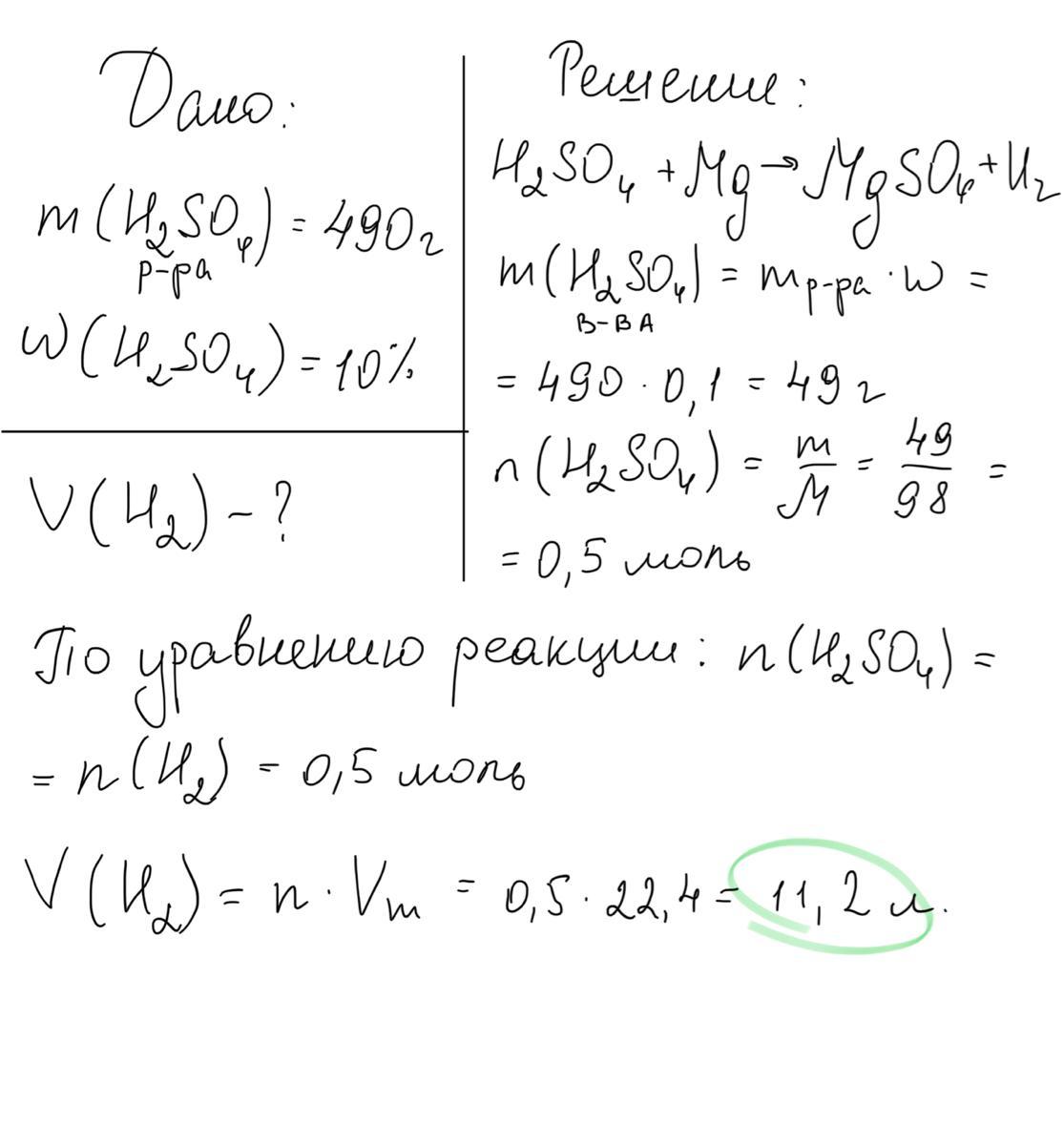
Решение на фото......
Приложения:
Вас заинтересует