Ответы
Ответ дал:
1
Ответ:
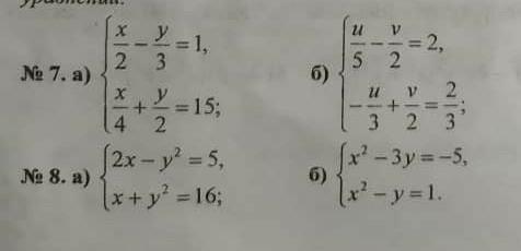
7 а) (16,5;21,75) б) (-10; -8) 8 а) (7;3) и ( 7; -3) б) (2;3) и (-2;3)
Объяснение:
Приложения:




Вас заинтересует
1 год назад
1 год назад
1 год назад
1 год назад
3 года назад
3 года назад
8 лет назад
8 лет назад