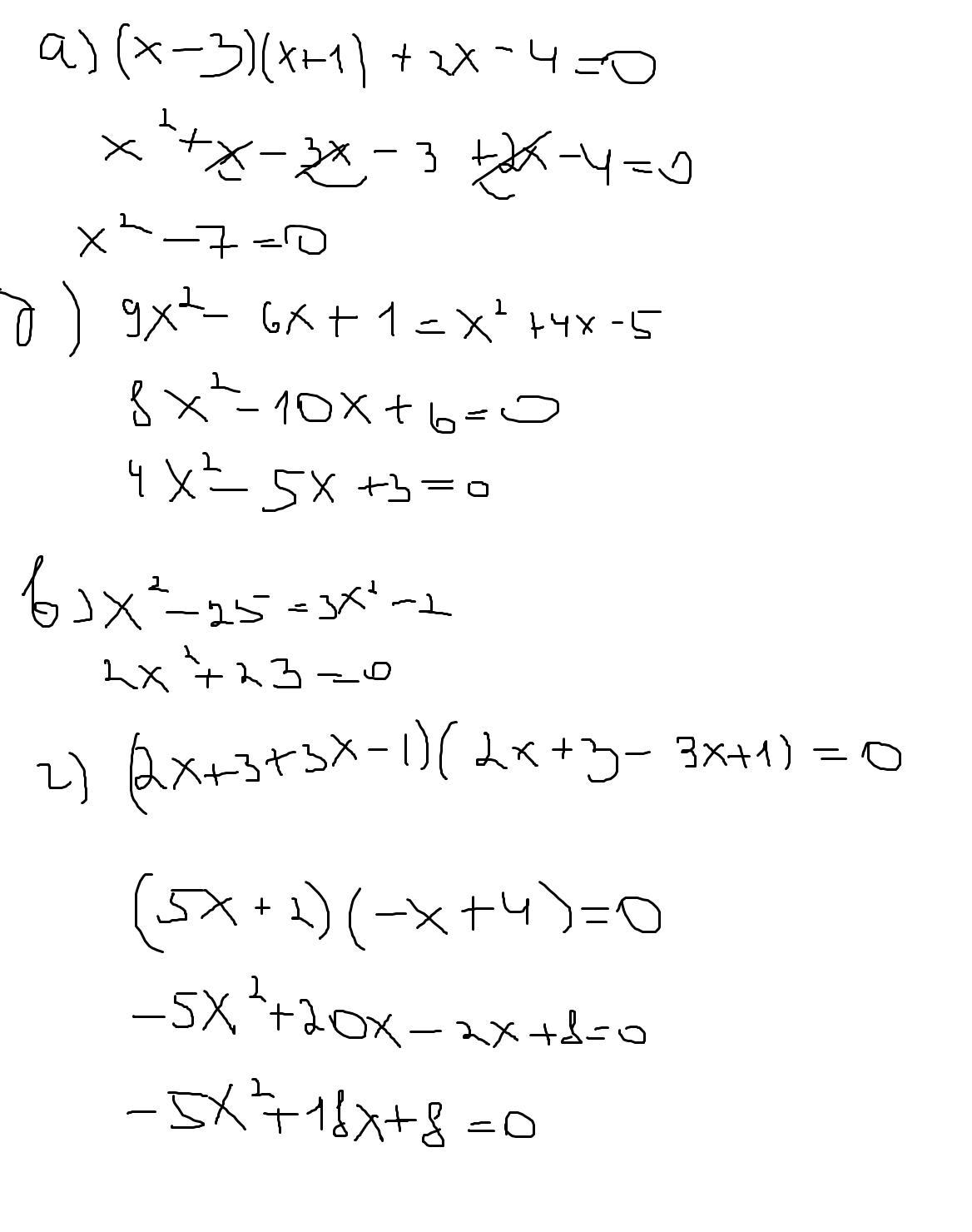
Приведите данное уравнение к виду 
a) (x-3)(x+1)+2x-4=0
б) 
в) (x-5)(x+5)=3x²- 2
г) (2x+3)²-(3x-1)²=0
Ответы
Ответ дал:
0
Ответ:
Пошаговое объяснение:
ВОТ И ВСЕ
Приложения:

Вас заинтересует
1 год назад
1 год назад
1 год назад
1 год назад
3 года назад
3 года назад
8 лет назад
8 лет назад