Ответы
Ответ дал:
1
Ответ:
Как по мне это усложнение а не упрощение
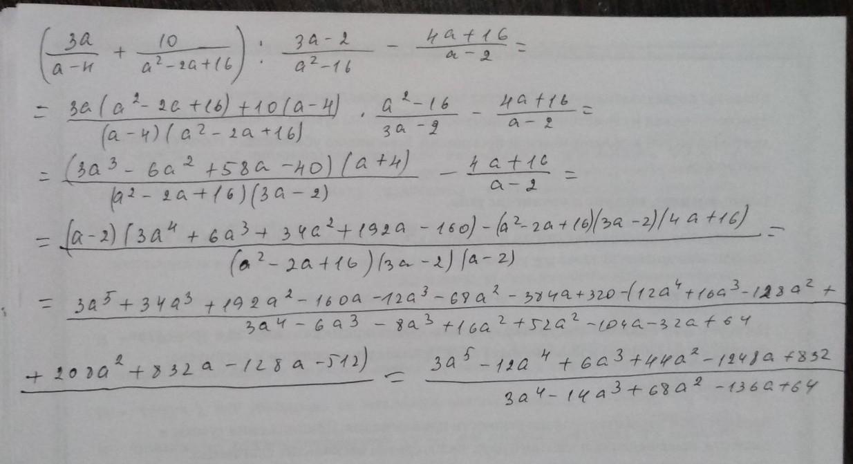
Приложения:

Вас заинтересует
1 год назад
3 года назад
8 лет назад