• Предмет: Математика
  • Автор: artemkarisev420
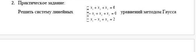
  • Вопрос задан 2 года назад

помогите пожалуйста ​

Приложения:

Ответы

Ответ дал: mostvit
1

Ответ:

Пошаговое объяснение:

Решение в приложении

Приложения:
Вас заинтересует