Решить задания, не сложные, просто хочу иметь ответы, чтобы разобраться. 50 баллов :)
Приложения:

taisasnitko:
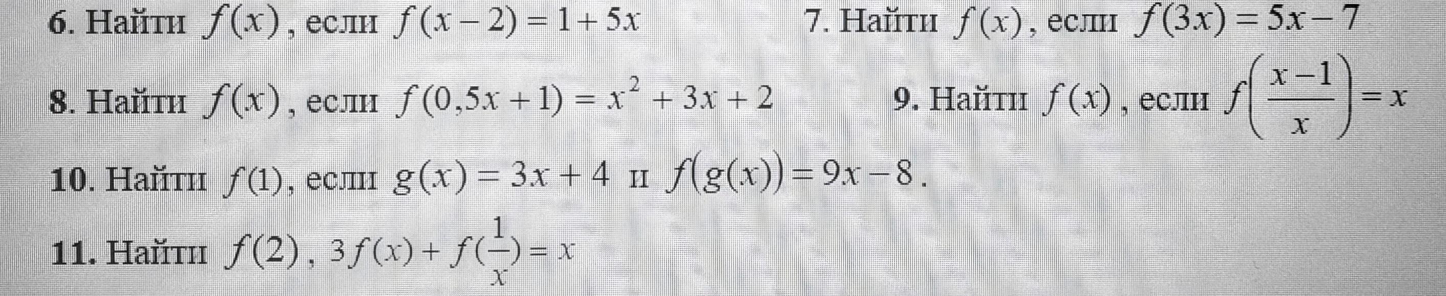
x-2=t,x=2+t; f(t)=1+5(2+t)=5t+11; 3аменим в последнем равенстве t на х и получим f(x)=5x+11; также и остальные
Ответы
Ответ дал:
0
Відповідь:
Пояснення:
Приложения:

Вас заинтересует
1 год назад
1 год назад
1 год назад
3 года назад
8 лет назад