• Предмет: Физика
  • Автор: LineFox
  • Вопрос задан 2 года назад

Задачи «Горизонтальный бросок и тело брошенное вверх» к уроку №18.
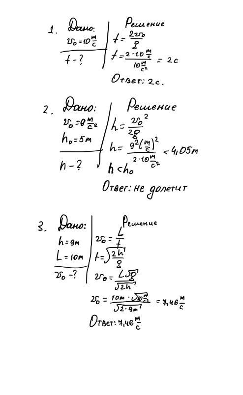
1 Через какое время упадет на землю тело, брошенное вверх со скоростью 10м/с?
2 Человек кидает вверх мяч со скоростью 9м/с, пытаясь попасть в мишень в 5м над ним. Долетит ли мяч до мишени?
3 С какой скоростью нужно горизонтально бросить мяч с балкона высотой 9м, чтоб он упал в корзину, стоящую в 10м по горизонтали от балкона?

Ответы

Ответ дал: bergalium
1
Решения на фото...............
Приложения:
Вас заинтересует