• Предмет: Математика
  • Автор: ANiTEZ
  • Вопрос задан 2 года назад

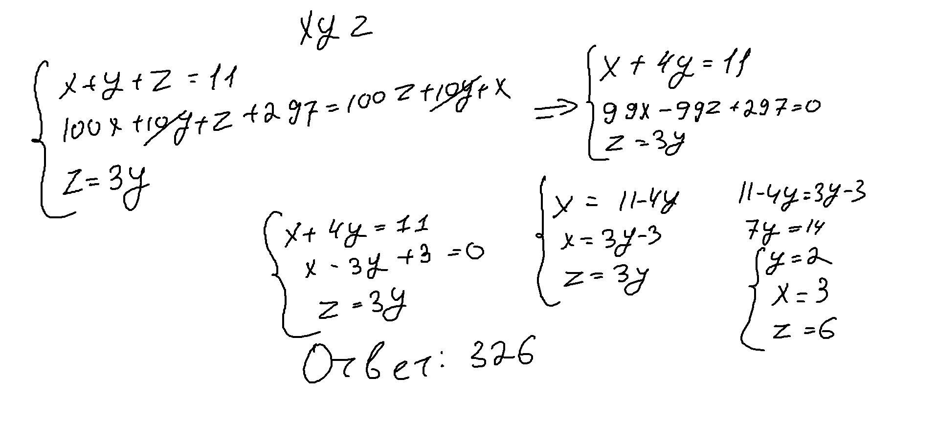
Сумма цифр трехзначного числа равна 11. Если же цифры записать в обратном порядке, то получится число, которое на 297 больше исходного. Найдите это число, если цифра его единиц в 3 раза больше цифры его десятков.
Решите пожалуйста системой. Ответ 326.

Ответы

Ответ дал: studyprogrammer2019
2

Решение на фото.

Стараюсь быть лучшим для вас)

Приложения:

ANiTEZ: Спасибо добрый человек
Вас заинтересует