• Предмет: Математика
  • Автор: Insooolent
  • Вопрос задан 2 года назад

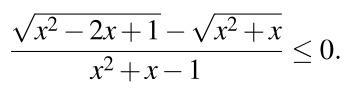
Помогите, пожалуйста, решить

Приложения:

Ответы

Ответ дал: ruuu2468
0
Следующую фотографию залью в комментарии. Решение верное.
Приложения:

ruuu2468: а, нет, не залью:) в комментарии фото не отправляется. прошу прощения)
Вас заинтересует