Сократите дробь.
20x(5степень)y(4степень)
_____________________
15x(3степень)y(5степень)
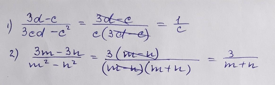
3d-c
____
3cd-c(2степень)
3m-3n
_____
m(2степень)-n(2степень)
Ответы
Ответ дал:
0
Ответ:
Действия с дробями.
Ответ во вложении.
Приложения:

Вас заинтересует
1 год назад
1 год назад
1 год назад
3 года назад
8 лет назад
8 лет назад