• Предмет: Алгебра
  • Автор: YULIA2891
  • Вопрос задан 2 года назад

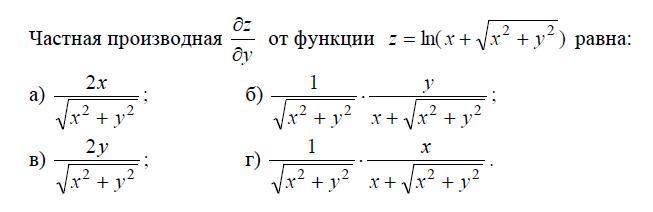
а может тут поможете

Приложения:

Ответы

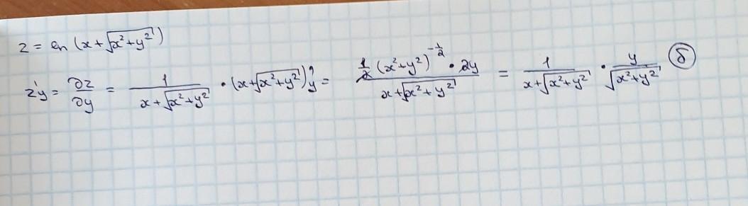
Ответ дал: Miroslava227
1

Ответ:

решение на фотографии

Приложения:
Вас заинтересует