• Предмет: Алгебра
  • Автор: jeff70
  • Вопрос задан 2 года назад

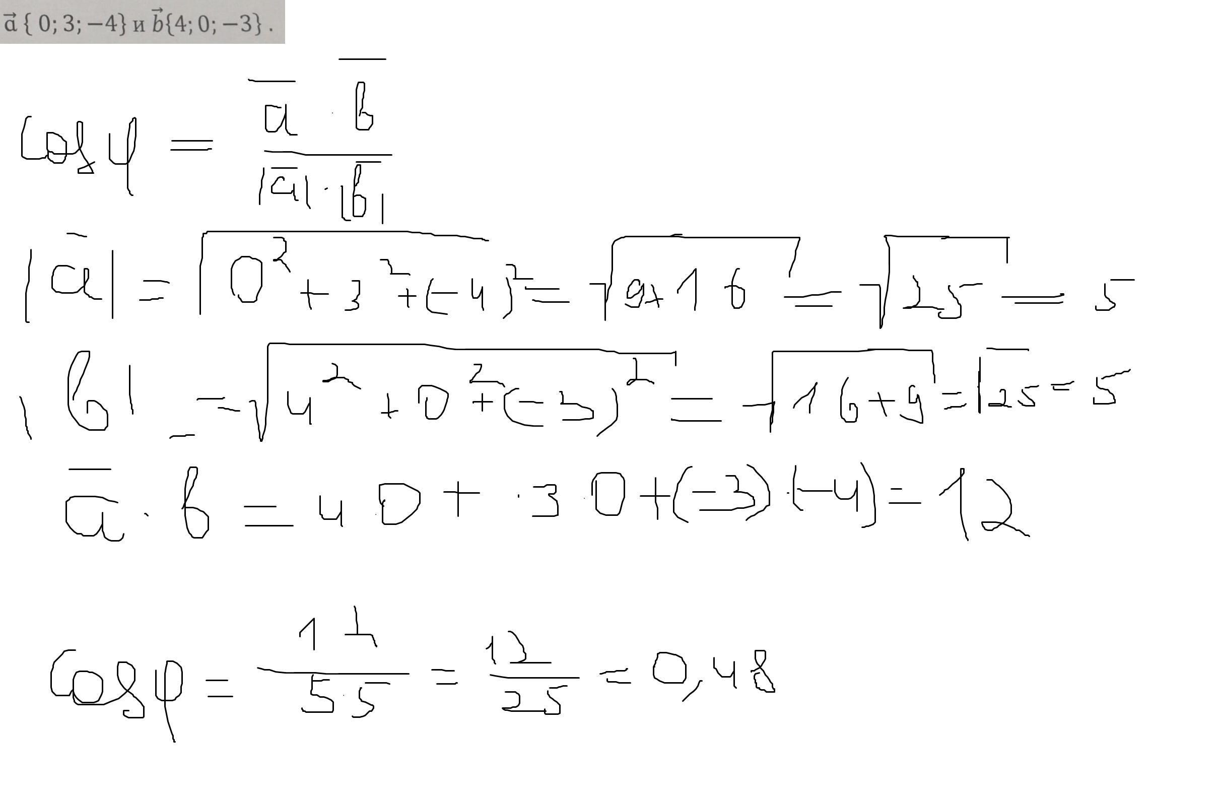
Вычислите косинус угла между векторами a и b (на фото)​
Пожалуйста

Приложения:

Ответы

Ответ дал: matematikL
1

Ответ:

Объяснение:

вот и все

Приложения:

jeff70: спасибо за решение
Вас заинтересует